
___
《光固化技术专利一览》为大众集合更新光固化行业技术专利申请状况一览表,实时关注行业动态,认识最新技术发展,敬请关注哟~ 下面便是第六十三期的内容,请收下![]()
一种UV光固化高透光率光学胶及其制备办法
公开(公告)号:
公开(公告)日:
申请(专利权)人:
CN110776855A
2020.02.11
华南理工大学
_摘要
本发明公开了一种UV光固化高透光率光学胶及其制备办法。以重量份数计,高透光率光学透明胶的原料配方包含20‑50份(甲基)丙烯酸烷基酯,15‑40份(甲基)丙烯酸羟烷基酯,10‑15份含N原子极性单体,10‑20份活性稀释剂,0.1‑2份链转移剂,0.5‑1份热诱发剂,0.5‑1份光诱发剂,0.6‑1.8份的其他助剂。本发明的高透光率UV固化型光学透明胶的固含量为100%,经过光固化后呈现压敏状态,所得制品的透光率≥99%,雾度值≤0.1%,持粘力≥230h,初粘力适中,贴合之后不会出现移位且很难脱落,涂布量少,成本和能耗低,是一种环保制品。
_光固化型粘合片、图像表示安装形成用层叠体、图像表示安装的制造办法和导电构件的控制腐蚀办法
公开(公告)号:
公开(公告)日:
申请(专利权)人:
CN110785470A
2020.02.11
三菱化学株式会社
_摘要
供给:拥有光固化性的粘合片、其中粘贴于具备包括银的金属材料的导电构件并光固化后能控制该导电构件的腐蚀的光固化型粘合片。供给一种导电构件用粘合片,其拥有粘合剂层,所述粘合剂层含有:(甲基)丙烯酸酯(共)聚合物、倘若接收光则产生自由基的光诱发剂、和365nm的吸光系数为20mL/g·cm以下的防金属腐蚀剂,且前述(甲基)丙烯酸酯(共)聚合物为不包括含羧基单体的(共)聚合物。
_一种可用于DLP型3D打印的光固化蜡树脂及其制备办法
公开(公告)号:
公开(公告)日:
申请(专利权)人:
CN110776604A
2020.02.11
东莞理工学院
_摘要
本发明触及树脂技术行业,详细是触及一种可用于DLP型3D打印的光固化蜡树脂及其制备办法,包含如下质量百分比的组份:光固化树脂20‑45%、改性合成柔性树脂25~50%、活性稀释剂10~30%、光诱发剂0.05~5%和纳米蜡浆3‑20%,本发明供给的光固化蜡树脂,呈较好的表面光洁度,光泽均匀,透明性好,拥有较高的冲击强度和耐刮性,硬度、拉伸和弯曲等力学性能优异;本发明的制备办法,其工艺简单,制备容易,便于工业化的生产制造。
_辐射固化聚烯烃配方
公开(公告)号:
公开(公告)日:
申请(专利权)人:
CN110785463A
2020.02.11
陶氏环球技术有限责任机构
_摘要
一种(电子束)固化(EBC)配方,其包含结晶度为0到少于50重量百分比(wt%)和/或密度为0.930克/立方厘米(g/cm3)或更小的EBC聚烯烃化合物;以及烯基官能性单环有机硅氧烷(“基于硅的助剂”)。还包含经过电子束辐照所述EBC配方制备的固化聚烯烃产物;制造和运用所述EBC配方或固化聚烯烃产物的办法;以及含有所述EBC配方或固化聚烯烃产物或由所述EBC配方或固化聚烯烃产物制得的制品。
_一种光纤高速拉丝紫外固化安装
公开(公告)号:
公开(公告)日:
申请(专利权)人:
CN110759647A
2020.02.07
江苏永鼎光纤科技有限机构;江苏永鼎股份有限机构
_摘要
本申请触及一种光纤高速拉丝紫外固化安装,包含:紫外固化炉,包含固化炉主体(1)和设置在所述固化炉主体(1)内的石英玻璃管(2);废气抽取组件,包含抽取组件壳体(3)和设置在所述抽取组件壳体(3)上的抽风管(4),所述抽风管(4)一端连通抽风风机,另一端连通所述石英玻璃管(2);氮气供给组件,包含供给组件壳体(5)、设置在所述供给组件壳体(5)上的进气气管以及连接在所述进气气管上的流量计,所述进气气管一端连通气源,另一端连通所述石英玻璃管(2)。本发明光纤高速拉丝紫外固化安装设计巧妙,使固化时氧含量浓度稳定,环境可控,且固化过程中产生的废气能够即时抽取,使拉丝速度和连续拉丝的长度得到优化。
_活性能量光固化油墨组合物及其应用
公开(公告)号:
公开(公告)日:
申请(专利权)人:
CN110760217A
2020.02.07
常州强力电子新材料股份有限机构;常州强力先端电子材料有限机构
_摘要
本发明供给了一种活性能量光固化油墨组合物及其应用。该活性能量光固化油墨组合物包含:(甲基)丙烯酸酯聚合物、光聚合诱发剂、活性稀释剂及着色剂,其中光聚合诱发剂包含拥有式(I)所示结构的诱发剂。以上光诱发剂的特殊结构使得含有其的感光性树脂组合物拥有很好的耐候性、耐化学品性和良好的光诱发活性,因而采用以上光诱发剂制得的活性能量光固化油墨组合物能够有效控制固化速度过快的问题。同期以上诱发剂与(甲基)丙烯酸酯聚合物、光聚合诱发剂、活性稀释剂及着色剂等组分的反应比较完全,且固化后形成的聚合物的分子量很强,因而以上活性能量光固化油墨组合物还拥有很难迁移,无气味及表干性能好的优点。
光固化3D打印机及其光源赔偿打印办法
公开(公告)号:
公开(公告)日:
申请(专利权)人:
CN110757789A
2020.02.07
三纬国际立体列印科技股份有限机构;金宝电子工业股份有限机构
_摘要
一种光固化3D打印机及其光源赔偿打印办法,光固化3D打印机拥有处理单元、激光扫描单元、能量检测单元及打印平台。于打印前,能量检测单元检测激光扫描单元在打印平台的各个区域上所能供给的输出功率值。处理单元依据激光扫描单元供给给工作区域的输出功率值分别计算各个区域所需的增益值,并且取得日前采用的成型材料所对应的标准照射次数,再依据标准照射次数及各个区域的增益值分别计算各个区域的赔偿照射次数。接着,处理单元依据各个区域的赔偿照射次数掌控激光扫描单元对打印平台的各个区域进行扫描,以打印3D物件。
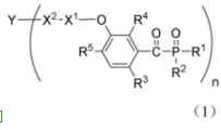
_化合物、光聚合诱发剂、光固化性组合物、其固化物、光固化性墨液和运用了该墨液的印刷物
公开(公告)号:
公开(公告)日:
申请(专利权)人:
CN110770245A
2020.02.07
DIC株式会社
_摘要
由通式(1)暗示的化合物、包括该化合物的光聚合诱发剂、将该光聚合诱发剂和光固化性化合物做为必须成份的光固化性组合物、使该光固化性组合物固化而成的固化物,[化0]式(1)中,R1和R2各自独立地暗示烷基等,R3~R5各自独立地暗示氢原子、烷基等,X1暗示单键或亚烷基,X2暗示通式(2)~(4)所示的键合基团,[化0]
n暗示1~6的整数,n为整数1时,Y暗示烷基、芳基等。
一种光固化聚氨酯涂料及其制备办法和应用
公开(公告)号:
公开(公告)日:
申请(专利权)人:
CN110746877A
2020.02.04
北京博瑞众诚科技有限机构;涿州卓宝机械设备有限机构
_摘要
本发明供给一种光固化聚氨酯涂料及其制备办法和应用。所述涂料由以下原料组分构成:A组分按重量份数计包含:聚氨酯丙烯酸酯60‑80份、活性单体稀释剂10‑20份、氨基树脂1‑20份、颜料0.05‑10份和填料10‑30份;B组分按重量份数计包含:异氰酸酯40‑100份和多元醇40‑100份;C组分为光诱发剂。本发明所述的光固化聚氨酯涂料固化后可形成机械强度高、耐热耐寒、抗腐蚀、抗老化的密实无气孔的弹性涂膜。
_一种用于制备细胞支架的光固化水凝胶
公开(公告)号:
公开(公告)日:
申请(专利权)人:
CN110746547A
2020.02.04
南方医科大学南方医院
_摘要
本发明触及一种用于制备细胞支架的光固化水凝胶,按重量比,该光固化水凝胶由不饱和聚酯、不饱和聚酯重量1~2倍的二丙烯酸酯、不饱和聚酯重量2~4倍的丙烯酸酯和不饱和聚酯重量0.1~0.5倍的光诱发剂构成,其中,所述的不饱和聚酯由聚乙二醇单甲醚诱发、丁二酸酐、2‑乙基己基缩水甘油醚、甲基丙烯酸缩水甘油酯和醋酸锌开环聚合得到。本发明所述的光固化水凝胶光固化后得到的细胞支架拥有良好的亲水性,促进细胞附着和增值的效果明显。
__

